-

-
ARMA模型
来源:默认管理员点击数:376发布时间:2012-12-10ARMA模型
1 基本概念
ARMA模型(Auto-Regressive and Moving Average Model)是研究时间序列的重要方法,由自回归模型(简称AR模型)与滑动平均模型(简称MA模型)为基础“混合”构成。在市场研究中常用于长期追踪资料的研究,如:Panel研究中,用于消费行为模式变迁研究;在零售研究中,用于具有季节变动特征的销售量、市场规模的预测等。
2 基本原理
将预测指标随时间推移而形成的数据序列看作是一个随机序列,这组随机变量所具有的依存关系体现着原始数据在时间上的延续性。一方面,影响因素的影响,另一方面,又有自身变动规律,假定影响因素为x1,x2,…,xk,由回归分析,

其中Y是预测对象的观测值, e为误差。作为预测对象Yt受到自身变化的影响,其规律可由下式体现,

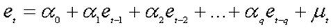
误差项在不同时期具有依存关系,由下式表示,

由此,获得ARMA模型表达式:

应用示例:在一项长期零售研究中,利用ARMA模型对连续数据进行了分析,结果见下图

图1 计算结果

图2 变化趋势及预测
上一篇下一篇



