-

-
线性回归分析
来源:默认管理员点击数:412发布时间:2012-12-101 基本概念
线性回归(Linear Regression )是研究一个或一组被影响的指标(常称为因变量,dependent variable)与一个或一组影响指标(常称为自变量,independent variable)间线性数量关系(包括因果关系、伴随关系)的统计分析方法,是市场研究中应用最为广泛的统计技术之一。如:人均可支配收入与人均消费间的联系、广告投入与品牌知名度的联系、品牌知名度与市场占有率的联系等,均可借助线性回归解决。
2 模型与基本原理:
l 一般线性回归方程
假定Y为因变量, X1、X2、X3、…、Xn为n个自变量,模型为:

其中b1、b2、…、bn表示相应变量的回归系数,b0表示常数项
l 标准化线性回归方程
将所有自变量、因变量标准化(
、
)后,再进行线性回归得到的方程,称为标准化线性回归方程。
l最小二乘估计与方程的解
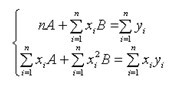
对直线回归方程y=A+Bx,记残差平方和为

据微积分知识,A、B满足如下联立方程组

此方程组称之为正规方程组(Normal Equations),其解为:


对多元线性回归

正规方程的矩阵形式为

其解为:

应用示例
为评估口感、烟丝质量等共9项指标对香烟总体满意度的影响程度,建立了标准化线性回归方程:

然后,根据回归方程对影响因素进行分层、评估。
上一篇下一篇



